通常认为快速减重存在易反弹、损害身体健康的不良后果,但真相或许会刷新你的认知。
研究结果,揭露谜底
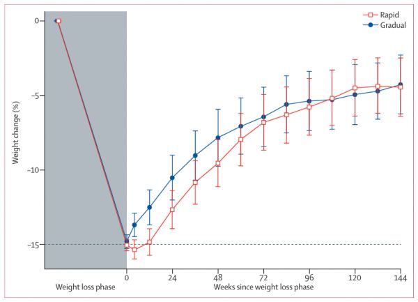
发布在《柳叶刀》的一项研究曾揭示,快速减肥与慢速减肥对长期体重管理的影响。
在整个研究过程中,所有参与者每天都需进行30分钟或以上的轻度到中等强度的运动。此外,还分别对不同减重速度组别进行饮食计划。

在减重期间,大部分参与者都基本达到了减重目标。减重完成后的参与者遵循每天减少400-500千卡能量的饮食。144周(~33个月)后,逐步减肥计划中的参与者恢复了71.2%减重量的体重,快速减肥计划中的参与者恢复了70.5%减重量的体重。由此看来,二者在长期体重管理方面的作用相差无几。

另有几项针对快速减重和慢速减重所造成的人体代谢和组分变化的研究发现,减重速度造成的体成分和代谢差异多为短期现象,体重稳定后差异消失。所以就长期减重效果,减重速度也不会带来太大差异。
破解误区,探寻奥秘
但话说回来,为什么普遍认为快速减重不可取呢?这是因为实际生活中大家只追求“体重数值”的快速下降,尝试的方法不一定科学合理且难以长期坚持,在此过程中还容易忽视身体日常活动的能量需求与健康需要,造成肌肉流失、机体脱水等后果。所以,想要成功快速减重又不损害健康是有窍门的!
而所谓窍门其实已经藏在上述实验方法中了——保持适量身体活动,制造合理能量缺口。不过,还是建议需要快速减重的人在专业人士的帮助下进行,自身操作风险较大;若没有快速减重的需求,还是稳中求进,才可实现“健康”、“减重”两手抓。
最后附上国家卫健委提出的建议供大家参考~
肥胖症的减重目标应进行分层设定,需综合考虑肥胖症的程度以及肥胖症相关疾病的风险和程度。减重速率与肥胖程度、所采取的减重方式相关,减重过程中需关注脱水、肌少症和内分泌系统的变化,建议每3-6个月对减重效果和代谢指标进行评估。
①对于大多数超重和轻度肥胖症患者,可设定为在3-6个月之内至少将体重降低5-15%并维持。
②对于中、重度肥胖症患者则可设定更高的减重目标,以获得代谢异常和相关临床结局的更优改善。
③超重及肥胖儿童的干预目标是在保证身高稳定增长的同时,维持体重不增或延缓体重增长速度,以达到健康体重,并非必须降低绝对体重。推荐同步进行饮食、运动和行为干预。
④65岁及以上老年人不宜盲目减重,重点是通过饮食和运动等干预,保持肌肉量和骨量,或者延缓其减少速度。
⑤孕妇、有基础疾病患者等特殊人群,应在专业人员指导下进行体重评估和管理。
参考资料:
Purcell, Katrina et al. The effect of rate of weight loss on long-term weight management: a randomised controlled trial[J]. The Lancet Diabetes & Endocrinology, 2014, 2(12): 954-962.
Ashtary-Larky D, Ghanavati M, Lamuchi-Deli N, et al. Rapid Weight Loss vs. Slow Weight Loss: Which is More Effective on Body Composition and Metabolic Risk Factors?[J]. Int J Endocrinol Metab, 2017, 15(3): e13249.
Coutinho SR, With E, Rehfeld JF, Kulseng B, Truby H, Martins C. The impact of rate of weight loss on body composition and compensatory mechanisms during weight reduction: A randomized control trial[J]. Clin Nutr., 2018, 37(4): 1154-1162.
Fogarasi A, Gonzalez KDalamaga M, Magkos F. The Impact of the Rate of Weight Loss on Body Composition and Metabolism[J]. Curr Obes Rep., 2022, 11(2): 33-44.
《居民体重管理核心知识(2024版)》及《居民体重管理核心知识(2024版)释义》
《肥胖症诊疗指南(2024版)》
撰文:叶茜玟
排版:魏家俊
核对:RH Chen