首页 > 资讯 > 社区开放空间视听感知对老年人恢复体验的跨模态补偿潜力

社区开放空间视听感知对老年人恢复体验的跨模态补偿潜力

摘要:

单感官模态处理信息的敏锐度通常会随着年龄的增长而下降, 本研究旨在探究当老年人某一感官出现不适时, 是否可以通过其他感官来代替补偿, 提升恢复体验。在天津市10个典型社区开放空间对老年人进行实地问卷调查, 揭示社区开放空间视听感知因素与老年人恢复体验的关系, 并探究视听感官的跨模态补偿潜力。分层回归结果显示, 视听环境感知维度在解释老年人恢复体验的差异上贡献较大; 活动空间和水景对恢复性有显著的正向预测作用, 而成人声和儿童声的负向预测作用在视景质量低的空间中更显著。更重要的是, 研究发现了视听感官对恢复体验的跨模态感官补偿潜力, 尤其是在情绪改善和行为支持方面。当声景质量较低时, 增加活动空间可从视觉上进行补偿, 提升恢复体验; 当视景质量较低时, 增加鸟鸣和音乐可从听觉上进行补偿, 提升恢复体验。该结果为提升老年人健康效益的感官补偿设计提供了理论参考。

Abstract:

It is known that there is a general decline in processing speed of a single sensory modality with aging. The aim of this study is to investigate when a sensation in one modality causes discomfort, whether the restorative experience of the elderly could be improved by enhancing other sensory modalities for compensation. The study conducts a field investigation focusing on older adults in 10 representative community open spaces in Tianjin, China, to explore the relationship between audio-visual perception and restorative experience of the elderly, and further examine the potential sensory compensation effect of audio-visual interaction on their restorative experience. The results indicate that audio-visual environmental dimensions contribute considerably to the explained variance in restorative experience of the elderly. Open spaces and water features positively associate with restoration, while adults’ and children’s sounds show negative correlation with restoration in open spaces with low landscape quality. More importantly, this study suggests a potential effect of cross-modal sensory compensation on older adults’ restorative experience when one sensory dimension (auditory or visual) is not highly satisfactory, especially on mood improvement and behavior support. When the soundscape quality is low, increasing open spaces can visually compensate and improve the restorative experience. When the landscape quality is low, adding birdsong and music can compensate from the auditory sense and improve the restorative experience. These findings provide valuable theoretical reference for the effect of sensory compensation on the elderly.

图  1   研究场地位置及空间环境照片示例

图  2   老年人对社区开放空间视听元素的感知 (a)视觉元素; (b)声源

图  3   视听感知因素与恢复体验的相关性结果

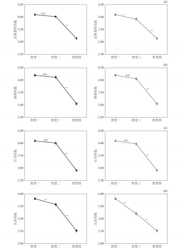
图  4   研究场地分类(类型一: 视声俱佳; 类型二: 视优声劣; 类型三: 声优视劣; 类型四: 视声均差)

图  5   不同场地类型恢复性差异(n.s: 无显著差异, **: p < 0.01, ***: p < 0.001) (a) 总恢复性; (b) 情绪; (c) 行为; (d) 认知

图  6   不同场地类型下视听元素与恢复性的关系

图  7   不同空间类型下恢复体验的性别差异

表  1   短版修订恢复量表

恢复性维度描述性语句 情绪我感到很愉悦我感到很放松认知我对这里的环境很感兴趣这里的环境能吸引我的注意力行为我愿意经常来这里我愿意在这里长时间停留生理在这里我感到呼吸加快在这里让我手心出汗

表  2   受访者基本信息

数量 百分比 性别 男 225 44% 女 284 56% 年龄 60~69 156 31% 70~79 255 51% ≥ 80 98 18% 心理健康状况 较差 120 22% 良好 389 78% 身体健康状况 较差 136 26% 良好 373 74% 外出活动频率 1~2 次/周 150 29% 3~5 次/周 235 46% > 5 次/周 124 25%

表  3   视听环境感知因子分析结果

视觉环境感知维度 声环境感知维度 空间/舒适性56.33% 自然性18.10% 丰富性15.27% 放松性59.70% 生动性22.35% 干净整洁 0.864 0.258 0.088 宁静平和 0.934 -0.113 空间开敞 0.835 0.126 0.277 和谐 0.930 -0.003 和谐 0.906 0.192 0.147 愉悦 0.934 0.137 愉悦 0.915 0.290 0.113 舒适 0.940 0.107 舒适 0.915 0.293 0.105 吸引人 0.783 0.446 吸引人 0.677 0.516 0.369 自然 0.809 0.203 自然 0.280 0.943 0.034 充满活力 0.033 0.888 丰富 0.170 0.055 0.977 丰富 0.106 0.846 KMO = 0.864, Bartlett球形度检验 p < 0.01 KMO = 0.816, Bartlett球形度检验 p < 0.01

表  4   视听感知因素与恢复性关系的分层线性回归结果

自变量 未标准化系数 标准化系数 t 显著性 容差 VIF (常量) 3.191 — 17.181 0.000 — 个人因素 性别 −0.096 −0.068 −3.433 0.001 0.941 1.063 心理健康状况 0.083 0.064 2.158 0.032 0.426 2.349 外出活动频率 0.060 0.080 3.459 0.001 0.702 1.424 R2 变化量 0.230 视景感知维度 空间/舒适性 0.299 0.444 11.917 0.000 0.270 3.706 丰富性 0.137 0.205 8.410 0.000 0.629 1.591 自然性 0.093 0.135 6.126 0.000 0.772 1.295 声景感知维度 放松性 0.266 0.424 15.403 0.000 0.494 2.025 生动性 0.114 0.164 6.840 0.000 0.648 1.543 R2 变化量 0.616 视听元素 儿童声 −0.052 −0.092 −3.887 0.000 0.667 1.499 水景 0.059 0.094 3.760 0.000 0.600 1.667 活动空间 0.064 0.078 2.329 0.020 0.330 3.029 R2 变化量: 0.013 最终模型: R2 = 0.860, 调整后 R2 = 0.855 [1]

World Health Orgnization. Ageing. https://www.who.int/health-topics/ageing

[2]

Villagrasa B, Olaya B, Lopez-Anton R, et al. Prevalence of anxiety disorder among older adults in Spain: a meta-analysis. J. Affect. Disolders., 2019; 246: 408−417 DOI: 10.1016/j.jad.2018.12.087

[3]

Peen J, Schoevers R A, Beekman A T, et al. The current status of urban-rural differences in psychiatric disorders. Acta. Psychiat. Scand., 2010; 121(2): 84−93 DOI: 10.1111/j.1600-0447.2009.01438.x

[4]

Chiang Y, Li D, Jane H. Wild or tended nature? The effects of landscape location and vegetation density on physiological and psychological responses. Landscape Urban. Plan., 2017; 167: 72−83 DOI: 10.1016/j.landurbplan.2017.06.001

[5]

Huang Q, Yang M, Jane H, et al. Trees, grass, or concrete? The effects of different types of environments on stress reduction. Landscape Urban. Plan., 2020; 193: 103654 DOI: 10.1016/j.landurbplan.2019.103654

[6]

Saarloos D, Alfonso H, Giles-Corti B, et al. The built environment and depression in later life: the health in men study. Am. J. Geriat. Psychiat., 2011; 19(5): 461−470 DOI: 10.1097/JGP.0b013e3181e9b9bf

[7]

Aspinall P A, Thompson C W, Alves S, et al. Preference and relative importance for environmental attributes of neighbourhood open space in older people. Environ. Plann. B: Plann. Des., 2010; 37(6): 1022−1039 DOI: 10.1068/b36024

[8] 郑振华, 彭希哲. 社区环境对老年人行为与健康的影响研究——不同年龄阶段老年人的群组比较. 地理研究, 2019; 38(6): 1481−1496 DOI: 10.11821/dlyj020181142 [9]

Li Y, Shen Y. Associations between neighbourhood environment and mental health: the mediating role of different domains of physical activity. J. Transp. Health, 2025; 41: 101998 DOI: 10.1016/j.jth.2025.101998

[10]

Lin T, Wang Q, Tan Z, et al. Neighborhood social environment and mental health of older adults in China: the mediating role of subjective well-being and the moderating role of green space. Front. Public Health, 2024; 12: 1502020 DOI: 10.3389/fpubh.2024.1502020

[11] 韩冰冰, 冷红. 寒地社区绿色空间对老年人主观幸福感影响——以长春市为例. 风景园林, 2022; 29(1): 115−121 DOI: 10.14085/j.fjyl.2022.01.0115.07 [12] 史祎雯, 朱喜钢, 孙洁. 绿色开放空间对老年人不同社会交往活动的影响研究——以南京市为例. 西部人居环境学刊, 2022; 37(4): 62−68 DOI: 10.13791/j.cnki.hsfwest.20220409 [13] 郭渲, 刘江. 老年人视角下居住小区绿地声景恢复性效益感知机制研究. 中国园林, 2025; 41(1): 102−109 DOI: 10.19775/j.cla.2025.01.0102 [14]

Long X, Che Din N, Lei Y, et al. The restorative effects of outdoor soundscapes in nursing homes for elderly individuals. Build. Environ., 2023; 242: 110520 DOI: 10.1016/j.buildenv.2023.110520

[15]

Long X, Lei Y, Mahyuddin N, et al. The impact of outdoor soundscapes at nursing homes on physiological indicators in older adults. Appl. Acoust., 2024; 221: 110008 DOI: 10.1016/j.apacoust.2024.110008

[16]

Deng L, Luo H, Ma J, et al. Effects of integration between visual stimuli and auditory stimuli on restorative potential and aesthetic preference in urban green spaces. Urban For. Urban Greening, 2020; 53: 126702 DOI: 10.1016/j.ufug.2020.126702

[17] 罗召鑫, 马蕙, 舒珊. 城市滨水空间恢复性评价的视听影响因素研究. 南方建筑, 2021; (1): 76−82 DOI: 10.3969/j.issn.1000-0232.2021.01.076 [18] 朱玉洁, 董嘉莹, 翁羽西, 等. 基于眼动追踪技术的森林公园环境视听交互评价. 中国园林, 2021; 37(11): 69−74 DOI: 10.19775/j.cla.2021.11.0069 [19]

Ruotolo F, Rapuano M, Masullo M, et al. Well-being and multisensory urban parks at different ages: the role of interoception and audiovisual perception. J. Environ. Psychol., 2024; 93: 102219 DOI: 10.1016/j.jenvp.2023.102219

[20]

Lindenberger U, Scherer H, Baltes P B. The strong connection between sensory and cognitive performance in old age: not due to sensory acuity reductions operating during cognitive assessment. Psychol. Aging, 2001; 16(2): 196−205 DOI: 10.1037/0882-7974.16.2.196

[21]

Hoover A E N, Harris L R, Steeves J K E. Sensory compensation in sound localization in people with one eye. Exp. Brain. Res., 2012; 216(4): 565−574 DOI: 10.1007/s00221-011-2960-0

[22]

Van Renterghem T, Lippens A. The audio-visual incongruency asymmetry. Natural sounds in an urban visual setting are more relaxing than urban sounds in visual nature. Urban For. Urban Greening, 2024; 101: 128514 DOI: 10.1016/j.ufug.2024.128514

[23]

Aletta F, Kang J, Axelsson Ö. Soundscape descriptors and a conceptual framework for developing predictive soundscape models. Landscape Urban Plan., 2016; 149: 65−74 DOI: 10.1016/j.landurbplan.2016.02.001

[24]

Jeon J Y, Jo H I, Lee K. Psycho-physiological restoration with audio-visual interactions through virtual reality simulations of soundscape and landscape experiences in urban, waterfront, and green environments. Sustain. Cities. Soc., 2023; 99: 104929 DOI: 10.1016/j.scs.2023.104929

[25]

Han K. A reliable and valid self-rating measure of the restorative quality of natural environments. Landscape Urban. Plan., 2003; 64(4): 209−232 DOI: 10.1016/S0169-2046(02)00241-4

[26] 赵警卫, 夏婷婷. 城市绿地中的声景观对精神复愈的作用. 风景园林, 2019; 26(5): 83−88 DOI: 10.14085/j.fjyl.2019.05.0083.06 [27] 余晨炜. 基于老年人视听感知的社区公园场所空间营造研究. 硕士学位论文, 福州: 福建农林大学, 2017 [28]

Guo X, Liu J, Albert C, et al. Audio-visual interaction and visitor characteristics affect perceived soundscape restorativeness: case study in five parks in China. Urban For. Urban Greening, 2022; 77: 127738 DOI: 10.1016/j.ufug.2022.127738

[29]

Zhu X, Liu F, Kang J, et al. Assessing the audio-visual environment at the Great Wall of China: impacts on visitor satisfaction and restoration. Appl. Acoust., 2024; 218: 109905 DOI: 10.1016/j.apacoust.2024.109905

[30]

Veitch J, Ball K, Rivera E, et al. What entices older adults to parks? Identification of park features that encourage park visitation, physical activity, and social interaction. Landscape Urban Plan., 2022; 217: 104254 DOI: 10.1016/j.landurbplan.2021.104254

[31]

Qi Y, Chen Q, Lin F, et al. Comparative study on birdsong and its multi-sensory combinational effects on physio-psychological restoration. J. Environ. Psychol., 2022; 83: 101879 DOI: 10.1016/j.jenvp.2022.101879

[32] 朱玉洁, 翁羽西, 孙丹玫, 等. 声景对自然和城市环境恢复性效益的影响. 建筑科学, 2021; 37(2): 63−69 DOI: 10.13614/j.cnki.11-1962/tu.2021.02.10 [33]

Liu Y, Xiao T, Wu W. Can multiple pathways link urban residential greenspace to subjective well-being among middle-aged and older Chinese adults. Landscape Urban Plan., 2022; 223: 104405 DOI: 10.1016/j.landurbplan.2022.104405

[34]

Hasegawa Y, Lau S, Chau C K. Potential mutual efforts of landscape factors to improve residential soundscapes in compact urban cities. Landscape Urban Plan., 2022; 227: 104534 DOI: 10.1016/j.landurbplan.2022.104534

[35]

Fang X, Gao T, Hedblom M, et al. Soundscape perceptions and preferences for different groups of users in urban recreational forest parks. Forests, 2021; 12(4): 468 DOI: 10.3390/f12040468

[36]

Erdeniz B, Tükel Ş. The effects of weightlessness on human body: spatial orientation, sensory-integration and sensory-compensation. In: Angin S, Şimşek I E (eds). Comparative kinesiology of the human body. Academic Press, 2020: 477−486

[37]

Lin M, Lin X, Wang Y. How sensory stimuli and barrier-free environments through restorative environmental perception influence visually impaired individuals’ satisfaction with urban parks. Landscape Urban Plan., 2025; 256: 105293 DOI: 10.1016/j.landurbplan.2024.105293

[38]

Qiao G, Song H, Prideaux B, et al. The “unseen” tourism: travel experience of people with visual impairment. Ann. Tourism. Res., 2023; 99: 103542 DOI: 10.1016/j.annals.2023.103542

[39]

Eikema D J A, Hatzitaki V, Tzovaras D, et al. Application of intermittent galvanic vestibular stimulation reveals age-related constraints in the multisensory reweighting of posture. Neurosci. Lett., 2014; 561: 112−117 DOI: 10.1016/j.neulet.2013.12.048

[40]

Su H, Ma H, Wang C. Effects of soundscape on Chinese children’s social interaction measured by self-reported behavioral expectations. Appl. Acoust., 2023; 207: 109350 DOI: 10.1016/j.apacoust.2023.109350

[41]

Li W, Liu Y. Predicting the impact of integrated audio-visual environments on perceived restorative benefits across different park types: a field study based on seven parks in Hangzhou, China. Urban For. Urban Greening, 2024; 101: 128517 DOI: 10.1016/j.ufug.2024.128517

[42]

Qin J, Zhang Q, Wang Y, et al. Impact of acoustic indicators on soundscape perception and physiological indicators in the transit-oriented developments (TODs). Sustainable Cities Soc., 2025; 130: 106653 DOI: 10.1016/j.scs.2025.106653

相关知识

半室外空间恢复性体验中热感觉的作用
社区参与促进老年人幸福感提升
视听知觉训练对老年人认知能力的促进及其机制
基于应对公共健康危害的广州社区恢复力评价及空间分异
【老年心理】高龄老人的视觉、听觉
社区康复机构中老年认知功...@深圳加力健康精选的动态
社区养老靠政府补贴“续航” 高端园开七年才止损
听力状况对老年人抑郁的影响研究
肢体,听力,精神残疾人的康复宝典
侯晓蕾:高架桥桥下空间更新 补足健康城市开放空间

网址: 社区开放空间视听感知对老年人恢复体验的跨模态补偿潜力 https://m.trfsz.com/newsview1907830.html