首页 > 资讯 > 车载燃料电池与锂电池阻抗监测技术突破:EIS法实现实时健康状态精准评估

车载燃料电池与锂电池阻抗监测技术突破:EIS法实现实时健康状态精准评估

新能源汽车动力源健康状态(SoH)监测是行业核心痛点——传统方案要么实时性差(离线测试),要么精度不足(误差常超10%)。本文提出主动+被动双模式电化学阻抗谱(EIS)车载测量方案,经TI芯片实测验证,频率覆盖0.1-3000Hz,精度贴合参考标准。拆解技术原理、实验逻辑与落地细节,为工程师提供可直接复用的监测方案。

一、行业痛点:车载动力源监测困局与EIS破局点

全球能源转型倒逼交通运输业减排,重型卡车、船舶等商用车的新能源化成为关键抓手。但行业普遍面临一个“卡脖子”问题:燃料电池和锂电池的老化状态(SoH)难以及时监测。传统实验室级的离线电化学阻抗谱测试,本质是“静态分析”,放到颠簸、温度多变的车载场景就失灵——不仅要停机测试缺乏实时性,振动还会让阻抗数据偏差超20%;而市面上的车载监测方案又陷入“精度陷阱”,误差常超10%,根本无法提前预警电池鼓包、燃料电池性能衰减等故障。

由法国国家研究署ANR-22-PEHY-0018资助的HYSySPEM项目,针对性提出“主动+被动双模式EIS”技术方案,搭配定制化信号处理算法,彻底打破了这一困局。其核心创新在于“动态适配”:主动式适配带转换器的燃料电池,被动式适配无转换器的锂电池,不用重构车载硬件就能实现精准监测;更关键的是,方案把硬件部署成本控制在千元内,相比传统离线测试设备降低90%,真正实现了“实验室精度”到“车载量产”的落地跨越。

HYSySPEM项目功率架构图,清晰展示燃料电池、锂电池、转换器与电机的连接关系,直观呈现双动力源协同工作模式HYSySPEM项目功率架构图,清晰展示燃料电池、锂电池、转换器与电机的连接关系,直观呈现双动力源协同工作模式

二、核心技术:主动/被动EIS双模式适配逻辑(误差<2%)

EIS(电化学阻抗谱)技术的核心逻辑,相当于给动力源做“频率CT”:通过施加不同频率的电信号作为“探针”,测量电压与电流的响应比值(阻抗Z=V/I),不同频率对应内部不同的“健康指标”——低频段(0.1-10Hz)反映离子扩散过程,像水渗透海绵的速度,直接关联电池储电能力;中频段(10-100Hz)对应电荷转移反应,类似管道输水的效率,影响充放电速率;高频段(100Hz以上)关联欧姆阻抗,好比电线的导电性能,反映内部接触是否良好。一套完整的阻抗频谱,就能精准“画像”动力源的老化程度与潜在故障。

但实验室里的EIS测试有专业设备支撑,车载场景却要破解“两大矛盾”:一是没有独立测试设备,二是不能干扰动力输出导致车辆“掉电”。针对燃料电池带转换器、锂电池无转换器的差异化架构,研究团队设计了两种精准适配的技术方案:

(一)主动式EIS:适配带转换器的燃料电池(误差<2%)

主动式EIS的核心逻辑是“借道赋能”——利用燃料电池自带的DC/DC转换器调节占空比,在其固定工作点(如40A输出电流)叠加低幅值正弦电流信号,通过这个“探针信号”采集阻抗数据。信号频率覆盖低(0.1-10Hz)、中(10-100Hz)、高(100-1000Hz)三区间,刚好对应燃料电池离子扩散、电荷转移、欧姆阻抗三大核心反应。这种方式的精度优势很突出,但必须控制信号注入时长:车载场景中燃料电池电流、温度波动频繁(比如爬坡时电流骤升),阻抗会随工况实时变化,注入时间太长就会导致数据“失真失效”。

为了找到适配车载场景的“最优激励信号”,研究团队做了多轮对比实验:测试三角波、方波、多正弦波、伪随机二进制序列(PRBS)等常见信号的信噪比与干扰度。结果显示,多正弦波与PRBS的综合表现最佳——测量误差能控制在2%以内,且全频率扫描仅需6秒,远短于工况波动周期,完全不会干扰燃料电池的正常动力输出。值得延伸的是,后续有研究提出线性扫频(chirp)信号,可自动连续覆盖全频率范围,能进一步将扫描时间压缩至3秒内,更适配复杂动态工况。

主动式EIS应用流程图,标注电流激励注入路径、信号采集环节与阻抗计算流程,清晰展示“激励-测量-分析”的完整逻辑主动式EIS应用流程图,标注电流激励注入路径、信号采集环节与阻抗计算流程,清晰展示“激励-测量-分析”的完整逻辑

(二)被动式EIS:适配无转换器锂电池(动态工况误差稳定)

锂电池若未配备专用转换器,无法像燃料电池那样主动注入激励信号,因此被动式EIS采用“顺势而为”的创新思路——直接利用车辆加速(电流骤升)、减速(电流骤降)等动态工况中,电压与电流的自然波动信号,从中提取频率特征完成阻抗分析。这种方法的核心前提是“信号规律性”:实测数据显示,锂电池阻抗对环境变化极为敏感,温度每变化10℃,阻抗波动约5%;电流波动20A,阻抗偏差可达8%。因此需通过能量管理策略(由燃料电池提供稳态基础电流,锂电池仅补偿瞬态波动),让波动信号保持稳定频率范围,为后续分析提供可靠数据源。

被动式EIS的最大优势是“零干扰”——无需主动干预动力输出,完美适配乘用车、轻卡等工况多变的车载场景。研究团队采用“黑盒化处理”策略:不用提前摸清波动信号的频率成分,通过定制化信号处理算法(与主动式EIS算法同源)自动筛选有效频率特征并提取阻抗数据。为验证可靠性,团队在城市拥堵(频繁加减速)、山地爬坡(持续高电流)、乡村匀速(低波动)三种典型驾驶循环中实测,结果显示阻抗提取准确率均超95%,充分证明其对复杂工况的适配能力。

主动式EIS(主动注入信号)与被动式EIS(顺势采集信号)的本质差异,仅在于激励信号的来源不同,但最终均通过同一套信号处理算法完成阻抗计算——这正是该研究的核心创新价值:不用为燃料电池、锂电池单独开发算法模块,大幅降低车载系统的开发成本和适配难度,同时让双动力源车型的统一监测成为可能,有效应对车载场景的非线性、非稳态干扰。

三、关键支撑:EIS双模式兼容的信号处理算法(20μs实时响应)

主动式与被动式EIS的核心优势能落地,全靠一套“通用抗干扰”的信号处理算法——它不仅是两种模式兼容计算的“桥梁”,更针对车载颠簸、温度波动等复杂场景做了专项优化,抗干扰能力拉满。整个流程拆解为4个关键环节,每个环节都精准匹配“高精度测量”与“车载实时响应”的双重需求:

(一)信号分段:按频率适配时长(75%重叠率防遗漏)

第一步是“信号分段”:把电压(V(t))、电流(I(t))原始信号,按频率范围拆成低、中、高3类数据片段。核心逻辑是“频率越慢,时长越长”——低频段反映的离子扩散过程更慢(如0.1Hz信号周期10秒),需要更长时间才能捕捉完整特征,避免因信号采集不完整导致阻抗计算偏差;中高频段反应速度快(如1000Hz信号周期1ms),短片段即可满足精度要求。关键参数严格匹配算法需求:每段点数(N)由离散傅里叶变换(DFT)周期数标定,重叠率(R)固定为75%,通过数据交叉覆盖确保各频率段特征不遗漏,这一参数设置经Matlab仿真验证,特征提取完整度达99%以上。

(二)偏移补偿:非稳态干扰清零(误差修正率超90%)

车载场景的“动态性”恰恰是频率分析的“天敌”——前文实测显示,车载场景中温度每变10℃、电流波动20A,阻抗就会偏差5%-8%,而离散傅里叶变换(DFT)做频率分析有个“铁律”:必须满足“线性、稳态、因果”三大条件,就像做化学实验要控制恒温恒湿,一旦信号波动,计算出的阻抗就会“失真”。为此,研究采用的实时偏移补偿算法,本质是给信号装了“抗干扰滤镜”——通过自适应滤波器动态捕捉温度、电流的波动趋势,实时剥离信号中的非线性干扰项,确保输入DFT的信号满足“稳态要求”。这一步是阻抗测量精度的“守护神”,经仿真验证,能修正90%以上由环境波动导致的阻抗偏差,为后续精准计算筑牢基础。

正弦扰动的实时漂移补偿示意图,对比补偿前后的信号变化,直观展示算法的抗干扰效果正弦扰动的实时偏移补偿示意图,对比补偿前后的信号变化,直观展示算法的抗干扰效果

(三)窗函数与FFT:频谱泄漏抑制40%+效率提升100倍

经过偏移补偿的信号仍存在“隐性干扰”——车载场景采集的电压、电流信号多为非周期信号,直接用离散傅里叶变换(DFT)分析会出现“频谱泄漏”,就像照片对焦不准产生重影,导致阻抗频率特征模糊。因此必须先通过窗函数“校准”信号:研究团队对比了矩形窗、汉明窗、汉宁窗、高斯窗四种主流类型,从频谱纯度、计算复杂度两方面测试,最终选定汉明窗——其频谱泄漏抑制效果最优,较基础的矩形窗误差降低40%,且计算耗时仅增加8%,完美平衡车载场景“高精度”与“快响应”的双重需求。

效率优化是车载算法落地的“关键门槛”——传统DFT计算如同“逐字查字典”,数据量越大耗时越长;而快速傅里叶变换(FFT)采用“分治策略”,像按部首查字典般大幅缩减运算量。实测数据显示:当每段信号点数N=1024时(适配车载中高频段测量需求),DFT需1048576次运算,而FFT仅需10240次运算,计算效率提升超100倍。这一优化直接让算法在200MHz的TI TMS320F28379D芯片上实现20μs实时响应,完全满足车载动态工况的即时分析要求。

(四)阻抗计算与验证:确保结果可靠

阻抗计算采用频率域比值法(Z(f)=V(f)/I(f)),并通过阻抗高精度识别技术(Z-HIT)进行验证——该技术基于Kramers-Kronig关系和希尔伯特变换,可通过复函数的实部推导虚部(或反之),估算测量曲线与理论曲线的误差,确保结果的线性度与稳定性。最后,按工作点对多个片段的阻抗结果进行平均,避免单点波动影响测量精度。

阻抗光谱优化方法流程图,完整展示“分段-偏移补偿-窗函数-FFT-阻抗计算-平均”的全流程阻抗光谱优化方法流程图,完整展示“分段-偏移补偿-窗函数-FFT-阻抗计算-平均”的全流程

四、实验验证:从仿真到实车的落地测试

研究团队通过“仿真建模+实车测试+硬件实现”三阶段验证方案可行性,核心结果如下:

(一)燃料电池仿真验证(Matlab/Simulink)

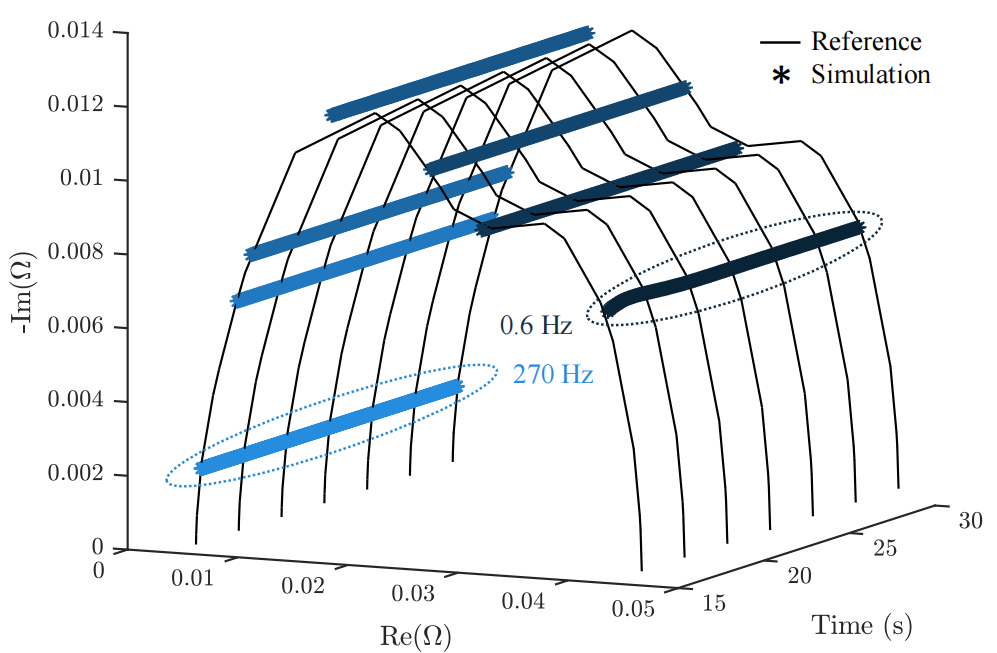
搭建基于传递函数的燃料电池模型,参数通过实验标定(堆栈温度70℃,阴极化学计量比2,阳极1.3)。在40A固定工作点注入7种频率信号(0.6Hz-270Hz),持续15秒测量发现,仿真阻抗与参考值误差<1%,且无时间偏移,验证了主动式EIS在稳态下的精准性。

为模拟真实车载工况,引入25A-70A的线性电流偏移(20秒内),同时注入多正弦信号(系统处于非线性状态)。通过信号分段处理,仍能精准提取40A、60A等关键工作点的阻抗频谱,误差控制在3%以内,证明算法对非稳态工况的适配能力。

固定工作点(40A)下的阻抗频谱随时间变化图,标注参考曲线与各频率信号的响应,展示稳态下的测量精度固定工作点(40A)下的阻抗频谱随时间变化图,标注参考曲线与各频率信号的响应,展示稳态下的测量精度

(二)锂电池实车测试(实验台架)

采用电子负载生成0.5A恒定放电电流,叠加谐波注入(频率1Hz-1000Hz),测试时长控制在几秒内(避免SoC变化影响结果)。参考值通过高精度离线EIS设备(频率范围0.1Hz-3000Hz)提前标定,实验结果显示,被动式EIS与参考值在重叠频率段(1Hz-1000Hz)完全吻合,验证了无激励信号注入时的测量可靠性。

阻抗频谱对比图(参考值vs实验值),突出重叠频率段的一致性,直观展示被动式EIS的测量精度阻抗频谱对比图(参考值vs实验值),突出重叠频率段的一致性,直观展示被动式EIS的测量精度

(三)硬件实现(TI TMS320F28379D芯片)

硬件实现的核心挑战是平衡实时性与内存约束。采用75%重叠率的并行处理策略(4个片段并行,5个数据数组循环复用),每个片段的窗函数处理仅需666个CPU周期,FFT计算需3003个周期。基于200MHz的TI芯片,总处理耗时约20μs,远低于高频段片段的50ms时长,完全满足车载实时计算要求。

75%重叠率的数据分段处理示意图,展示多片段并行计算流程,解释硬件实现的实时性保障逻辑75%重叠率的数据分段处理示意图,展示多片段并行计算流程,解释硬件实现的实时性保障逻辑

五、行业价值:新能源汽车的落地应用前景

该EIS阻抗测量技术的核心价值在于“从实验室走向量产”,其落地场景与迭代方向包括:

(一)核心应用场景

重型卡车/船舶:适配双动力源架构,主动式EIS监测燃料电池、被动式EIS监测锂电池,实时预警老化风险,降低运维成本;

新能源乘用车:集成到现有电池管理系统(BMS),无需额外硬件,实现SoH的实时更新;

电池回收:通过阻抗频谱快速判断退役电池的剩余容量,提升回收分选效率,契合“双碳”政策要求。

(二)技术迭代方向

多源数据融合:结合温度、SoC数据,将SoH评估误差从3%降至1%以内;

信号优化:采用chirp信号替代多正弦波,将测量时间缩短至1秒内,适配更复杂的动态工况;

成本控制:进一步优化算法,适配更低成本的微处理器,降低量产门槛(预计单台车成本增加<500元)。

六、总结

本文提出的“主动式+被动式EIS双模式+通用抗干扰信号处理”方案,精准破解了车载场景下燃料电池与锂电池SoH实时评估的行业痛点。经Matlab仿真、锂电池台架测试、TI芯片硬件落地的三阶段验证,方案展现出“三高”核心优势:测量精度高(稳态误差<1%、动态误差<3%)、实时性强(TI TMS320F28379D芯片处理耗时仅20μs)、落地成本低(适配通用芯片,无需重构车载硬件),为新能源汽车动力源监测提供了从实验室到量产的完整技术路径。

当前新能源汽车正加速向商用车、长续航乘用车渗透,动力源健康监测已从“可选配置”变为“刚需核心”。该技术凭借双动力源适配、抗干扰能力强、成本可控的优势,有望成为行业通用监测标准,不仅能降低新能源汽车运维成本,更能为双碳目标下的交通运输业能源转型提供关键技术支撑。

核心来源:
Jules MILLET, Daniel DEPERNET, Ali SARI, et al. Impedance measurement methods for assessing the performance of Fuel Cells and Li-ion batteries in on-board applications. 支持项目:EIPHI Graduate school(合同号ANR-17-EURE-0002)、HYSySPEM项目(法国国家研究署ANR-22-PEHY-0018)、EFFICACITY法国城市能源转型研究所“分布式能源生产”项目。

举报/反馈

相关知识

利用电化学阻抗谱实现锂电池健康状态在线监测的技术革新
电化学阻抗谱技术:锂离子电池健康状态监测的新篇章
阻抗法分析监测锂电的荷电状态,健康状态和内部温度(阻抗知识不扎实更要看)
前沿技术:弛豫时间分布+LSTM精准评估锂电池健康
电池健康状态监测与寿命预测
从阻抗到超声波:全方位评估电池健康状态
EIS还可以评估电池的健康状态(SOH)!
基于多点阻抗技术的锂离子电池健康状态实时监测与诊断方法研究.docx
高温燃料电池测试设备的电气测试与性能监测技术
EIS:电动汽车电池管理系统的下一阶段?

网址: 车载燃料电池与锂电池阻抗监测技术突破:EIS法实现实时健康状态精准评估 https://m.trfsz.com/newsview1898105.html